设为首页收藏本站

弧论坛

 找回密码
 立即注册
搜索
热搜: 活动 交友 discuz
查看: 9075|回复: 0
打印 上一主题 下一主题

用洛必达法则来求极限,就像你用钳子夹核桃一样简单

[复制链接]

5923

主题

6632

帖子

7192

积分

坛主

Rank: 10Rank: 10Rank: 10

积分
7192
跳转到指定楼层
楼主
发表于 2018-5-18 18:50 | 只看该作者 回帖奖励 |倒序浏览 |阅读模式
用洛必达法则来求极限,就像你用钳子夹核桃一样简单

原创: 超模君
超级数学建模
2018/5/19



那些年
让我们头皮发麻的高数定理


                               
登录/注册后可看大图
上次,小天跟大家介绍了洛必达传奇的一生后(传送门),就有模友要求超模君讲一下洛必达法则,好,今天超模君就翻你的牌,讲讲洛必达法则。


                               
登录/注册后可看大图

1.到底什么是洛必达法则呢?


                               
登录/注册后可看大图
我们先打个不太准确的比方吧,我们把用钳子夹核桃的过程比作洛必达法则,求未定式的极限相当于吃核桃仁,如果你不借助钳子的话,是很难吃到核桃仁的(呃,麒麟臂的除外),我们把核桃壳的两部分当作未定式的分子和分母,用钳子夹核桃壳相当于分别对未定式的分子和分母进行求导。

再学术一点来说,就是用求导的方法来求极限,不过,这种方法有一定的限制。

我们不妨设 h(x) = f(x) / g(x) ,若要用洛必达法则来求h(x)的极限,则需要满足以下条件:


                               
登录/注册后可看大图

这些限制条件就好比钳子的张角,因为太小而无法满足大核桃的尺寸(好像有丶污......),这时就不能用洛必达法则求未定式的极限了。只有满足以上的条件的式子,才可以用洛必达法则来求极限。


                               
登录/注册后可看大图
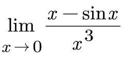
举个栗子


                               
登录/注册后可看大图


                               
登录/注册后可看大图

上图为f(x)=x-sin x 和 g(x)=x^3 的图象,可看出 x - sinx 和 x^3 在x=0处可求导,(x^3)' ≠ 0 ,且它们的极限都为0,此时我们的主角--洛必达法则准备登场了,我们分别对未定式的分子和分母求导,就可以得到


                               
登录/注册后可看大图

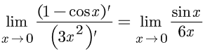
然而这条式子还是求不出其极限,但是它符合使用洛必达法则的条件,接下来再用一次洛必达法则,可得,


                               
登录/注册后可看大图


                               
登录/注册后可看大图
我们求了两次导还没有求出这条式子的极限,但不要放弃哦,一而再,再而三,总会求出来的,再一次使用洛必达法则,得到(哇!求这么多次导的吗???),


                               
登录/注册后可看大图


                               
登录/注册后可看大图
这个极限问题就这样被洛必达法则轻松解决了(表面轻松)。

洛必达法则在求极限中经常会被用到,并且在求某些极限时更加方便,简单。我们都知道高数中有一个重要极限


                               
登录/注册后可看大图


                               
登录/注册后可看大图

从上图很容易看出 sin x / x,在 x=0 处的极限是1,这个极限用洛必达法则一下子就证明出来了,但是你有没有想过不用洛必达法则证明呢?这么说吧,你会证明得头皮发麻的,下面我将会用洛必达法则和不用洛必达法则证明这个极限。

  • 洛必达法则证明



                               
登录/注册后可看大图


洛必达法则的证明过程是多简单,多帅哦,接下来看看不用洛必达法则的证明过程。

  • 不用洛必达法则证


                               
登录/注册后可看大图

从上图可以看出,在 x 趋近于0 时,则有 sin x < x < tan x ,

不等式同时除以 sin x ,可得


                               
登录/注册后可看大图

再取它们的倒数,就能得到


                               
登录/注册后可看大图

根据夹逼准则(就是那个最污的定理),可得


                               
登录/注册后可看大图



                               
登录/注册后可看大图
洛必达法则的证明只需要分别对不定式的分子和分母求导就可以了,但是不用洛必达法则,则需要构建一条不等式,整理不等式,最后用夹逼准则证明。两者孰轻松方便孰麻烦费时,不用超模君来回答吧(爱折腾的陈同学请别回答,坐下,让后面不爱折腾的李同学回答)。

2.0/0型未定式中洛必达法则的推导

超模君查阅许多书籍,浏览了众多网站,发现了洛必达法则的证明大多数都是用下面这个方法证明:


                               
登录/注册后可看大图


                               
登录/注册后可看大图
这一堆枯燥无味的式子看得超模君头皮发麻,都无法和模友们皮起来了。

超模君此时在想是否可以用图象的形式将洛必达法则推导出来呢?这样就可以和模友们high了。


                               
登录/注册后可看大图
超模君进入王者模式中......

洛必达法则可以看作未定式在某一点的极限等于两个函数在这一点斜率的商。

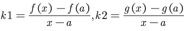
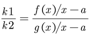
所以我们需要构建两个函数 f(x) 和 g(x) ,且经过 A (a , 0) , 点B、点C分别是f(x)、g(x) 上的一点,当B、C两点越靠近点A时,曲线AB和曲线AC就越接近一条直线,这因为可微函数局部是线性,设k1、k2分别为 直线AC、AB的斜率。


                               
登录/注册后可看大图

那么就有


                               
登录/注册后可看大图

对于A点附近的x,则有


                               
登录/注册后可看大图

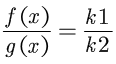
整理一下,可得,


                               
登录/注册后可看大图

综上的分析得出,


                               
登录/注册后可看大图

当 x→a 时,f(x) 、g(x) 的斜率无限接近 f(a) 、g(a) 的斜率,即


                               
登录/注册后可看大图


                               
登录/注册后可看大图
这样就证明了洛必达法则的0/0型未定式,接下来就是对∞/∞型未定式中洛必达法则的推导。

3.∞/∞未定式中洛必达法则的推导

我们构建 f(x) 、g(x) 在点B趋近于无穷,令


                               
登录/注册后可看大图

那么 h(x) 、u(x) 在点B趋近于0,此时,这个未定式变0/0型,因此∞/∞型未定式中洛必达法则的推导也完成了。

曾经被洛必达法则搞得脑壳疼的模友们,听了超模君一顿哔哔后,大概有所感触了吧。

本文系网易新闻·网易号“各有态度”特色内容
部分资料来源于网络


大道至简 万物于弧
*滑动验证:
您需要登录后才可以回帖 登录 | 立即注册

本版积分规则

手机版|Archiver|小黑屋|国际弧学研究会    

GMT-7, 2026-1-24 01:45 , Processed in 1.179944 second(s), 23 queries .

Powered by Discuz! X3.1

© 2001-2013 Comsenz Inc.

快速回复 返回顶部 返回列表