设为首页收藏本站

弧论坛

 找回密码
 立即注册
搜索
热搜: 活动 交友 discuz
查看: 6653|回复: 0
打印 上一主题 下一主题

统一路 | 12-粒子和场

[复制链接]

5917

主题

6625

帖子

7185

积分

坛主

Rank: 10Rank: 10Rank: 10

积分
7185
跳转到指定楼层
楼主
发表于 2015-12-28 00:49 | 只看该作者 回帖奖励 |倒序浏览 |阅读模式
统一路 | 12  粒子和场

2015-10-23
中科院物理所

12. 粒子和场
世界的本源是什么?是物质和运动。那么,物质和运动的本源又是什么?如果将“本源”理解为构成世界的最基本成分的话,根据目前大多数物理学家所认可的“标准模型”,这些基本成分归结为62种基本粒子(暂且不作具体讨论)和4种相互作用。实际上,相互作用在“基本粒子”表中也有它们所对应的“作用传播子”,所以,不妨就可以将世界当作是这62种基本粒子组成的。然而,虽然仍然把它们称作基本“粒子”,但它们已经远不是人们脑袋中那种经典的、一个一个小球模样的“粒子”形象了。上面这句话其实不完全正确,对光量子,或电磁场而言,粒子说和波动说一直都在交叉地争夺天下。原来那种“小球粒子”,主要是针对电子、原子、质子、中子一类的“物质粒子”而言的。

是1900年诞生的量子力学,摧毁了经典粒子和经典场的形象。所有问题都是这个奇怪的“量子”带来的,量子力学赋予了光波以粒子的属性,又粉碎了实物粒子的经典图像。按照经典的说法,实物由粒子构成,光和引力,是场。但量子力学的诞生模糊了两者的界限。实物粒子表现出波动性,电磁场却表现出了粒子性。上节介绍的路径积分方法十分确切地将这两者统一在同一个思想框架中:量子力学可以被看作是经典运动在微观尺度下的修正,这些修正来源于不同的路径,在相位上相对于经典路径成指数衰减,它们使得经典的轨道和环境都变得“模糊”起来。

既然粒子和场之间是模模糊糊的,并没有明确的界限,为何不干脆将它们都用一种单一的“形象”表达出来呢?回答应该是肯定的,这也算是统一的第一步吧。然后,下一个问题便是:这个形象应该是粒子为本,还是场为本呢?也许你可以说,两者都是“本”,一切都既是粒子又是波。既是波又是粒子。但大多数的人都认为只应该有一个本体,到底哪一个才是更基本的?并且,当物理学界构造理论和数学模型时,也需要决定首先构造哪一个呀。最后,物理学家们选择了“以场为本”,并将此理论取名为“量子场论”。显而易见,量子场论还应该与狭义相对论相容【1,2】。

历史地看,量子场论的提出与之前介绍过的狄拉克方程有关。狄拉克的电子方程本来是用来解释单个电子的相对论运动状态的,但是,它却引导出了无限多的负能量的能级,为此,狄拉克不得不假设了一个狄拉克“海”的概念,认为真空中的负能级上已经充满了电子,偶然出现一个“洞”,便意味着出现了一个正电子,虽然这个理论成功地预言了正电子的存在,但并不说明这个理论就是完全正确的。狄拉克的本意是像薛定谔方程那样,得到单电子的波函数,最后却想不到拉扯出了无穷多个电子。无穷多个电子存在的状态,还能被称为“真空”吗?真空中无穷多个能级被占据,也导致了无限大又不可测量的能量密度。此外,这种思维方式是基于电子这种费米子所遵循的泡利不相容原理。如果试图以类似的方式来建立玻色子的方程就不适用了,因为玻色子并不受泡利不相容原理的束缚。既然狄拉克海的解释涉及到了无穷多个电子,还不如一开始就考虑多电子的运动而不要只考虑单电子的运动。正电子也可以从一开始就冠冕堂皇地进入理论中,而没有必要作为真空的一个空洞而出现。所以,狄拉克海的假设虽然不完善,这种“真空不空”的思想却被大家接受并移植到量子场论中。对量子场论还有另外一个要求:要能够处理粒子数变化的情形。量子力学提供的是单电子图景,电子数是固定的,永远是那一个电子。而描述光子运动的麦克斯韦电磁理论,虽然方程描述的电磁场是弥漫于空间中的“场”,但是,也无法处理光子数改变的情况,比如说,应该如何描述原子中因为电子状态的跃迁而辐射光子的过程?如果系统中本来没有任何经典电磁场存在,为什么突然就冒出了几个光子呢?这种现象是经典电磁场无法解释的。

按照量子场论的观点,每一种基本粒子,都应该有一个与它对应的场,这些场互相渗透、作用、交汇在一起,就像大气那样,充满了整个空间。真空被看作是各种量子场的基态,粒子则被看成是场的瞬息激发态,例如,电子和正电子是电子场的激发态,夸克是夸克场的激发态……。不同的激发态,有不同的粒子数和不同的粒子状态。不同场之间的相互作用,引起各种粒子的碰撞、生成、湮灭等等过程,用作用在这些量子态上的算符(包括产生、湮灭、粒子数算符等)来描述。上世纪20年代末,狄拉克、约旦和维格纳等人,为量子场论建立了一套称之为“正则量子化”的数学模型,根据这个模型,麦克斯韦的电磁场,以及从薛定谔方程、狄拉克方程等解出的波函数,都可以被量子化。人们将这种方法称为“二次量子化”,意思是有别于量子力学中求解波函数的量子化过程。

实际上,“二次量子化”只是一种因为历史过程而形成的说法。从费曼路径积分的观点,可以说不存在什么“一次”“二次”量子化的问题,因为路径积分的思想对两者是一样的,只是讨论的对象不同而已。量子力学中研究的是单粒子的时空运动:一个粒子从时空中一个点到达另一个点的总概率幅,等于所有可能路径的概率幅之和。在量子场论中,研究的是系统量子态的演化:系统从一个状态过渡到另一个状态的总概率幅,也是等于所有可能演化路径的概率幅之和。两种情形下的路径积分,用的是形式相类似的同一公式:


                               
登录/注册后可看大图
图12-1:量子场论中的路径积分

路径积分应用到量子力学和量子场论的区别只是在于积分的空间不同,以及拉格朗日量表达式的不同。量子场论路径积分表达式(12-1)中包含两个积分:一是对所有路径贡献的概率幅求和,对各种不同系统而言,在它可能历经的所有路径构成的空间中进行。出现在指数函数中的另一个积分,是对某个给定的路径,从拉格朗日函数密度计算作用量时的积分,在场分布的真实空间中进行。因为量子场论是量子力学和相对论结合而成,第二个积分空间的维数通常是(n=1+m)。当m=3时,这是包括时间和3维空间的闵可夫斯基空间(不考虑引力的话)。当m=0的时候,计算作用量的积分空间只有一维时间轴(t),公式(12-1)便简化回归到单粒子量子力学的情况。另外,空间维数m也可以扩展到大于3的情形,等于10或者别的什么正整数值都行,其数学表达式都是类似的,只需要根据具体情况将物理意义加以推广到高维而已。

路径积分表达式(12-1)是最小作用量原理的量子场论版,我们在上一节中曾经指出:对应于作用量最小的那条轨道是经典粒子的轨道,如果令S的变分为0,可以得到欧拉-拉格朗日方程,再进一步可以导出经典粒子的运动规律,即牛顿定律。类似地,从(12-1)式出发,设定变分为0,也能对应于一条系统演化的经典轨道。相应的欧拉-拉格朗日方程被称为Schwinger–Dyson方程。换言之,从量子场论的观点看,Schwinger–Dyson方程是欧拉-拉格朗日方程的量子场论版,是该系统的某种经典场描述。例如,对标量场而言,在一定的条件下,Schwinger–Dyson方程成为克莱因-高登方程。换句话说,从量子场论的观点看,量子力学中描述单粒子运动的波函数是一种经典场。

无论是用正则方法,还是用路径积分,量子场论中的具体计算都不容易,对复杂的系统更是困难重重。比如说,所谓的“路径空间”实际上是一个无穷维的空间,积分是无穷维重积分,一般无法精确计算。

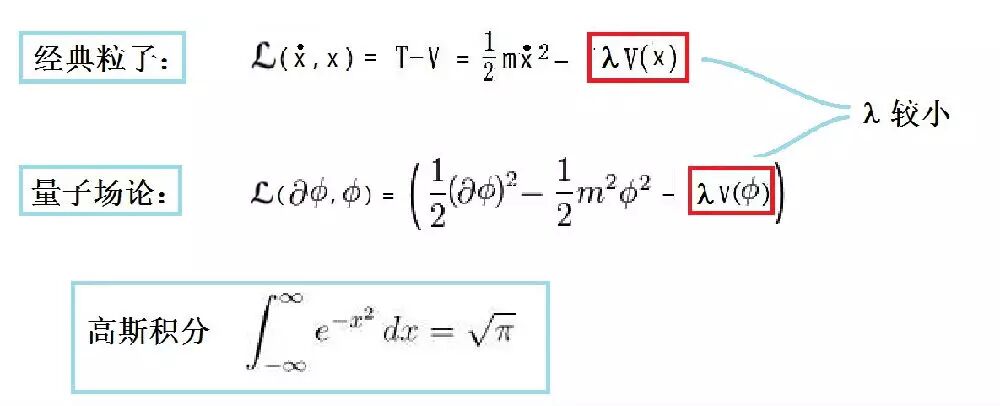
不过,观察一下(12-1)中的两个积分可知,路径积分的计算结果依赖于拉格朗日函数的具体形式。我们在本系列第4节中介绍了经典粒子及场的拉氏函数,大致都是如图12-2中所示的某种“动能减势能”的形式。


                               
登录/注册后可看大图

图12-2:拉格朗日函数

动能部分稍微好办一些,因为它们是场(或者场的微分)的二次项。如果没有后面势能lV(f)一项的话,经过一系列繁复的代数运算之后,最终可以将路径积分的结果表示成图中所示的高斯积分的形式。势能项描述的是相互作用,当相互作用比较小而被忽略不予考虑的情况下,得到的便是“自由场”的结果。

对于复杂而任意变化的相互作用,物理学家也想出了一些可行的办法。因为势能部分 lV(f)的大小取决于相互作用常数(假设为l),当l比较小的时候,可以将拉氏函数中包括lV(f)的指数函数用l的泰勒级数展开,展开式通常被称为戴森级数,它描述了相互作用对自由场的各级修正。

费曼提出了一种形象化的方法来表示戴森级数,叫做费曼图。费曼给费曼图制定了一套简单形象的规则,可以很方便地计算粒子因相互作用产生的各种反应的散射截面(即发生反应的可能性),欲知详情,请见参考资料中所列的任何一本量子场论参考书【1,2,3】。

费曼图的两个简单例子如图12-3所示,描述了发生在2维时空(x, t)中的相互作用。


                               
登录/注册后可看大图

图12-3:费曼图

图12-3a:时空点1的电子,和时空点2的正电子,在时空点3相遇并湮灭,产生一个虚光子。虚光子运动到时空点4时,生成夸克和反夸克,反夸克在时空点5发射一个胶子。最后,夸克运动到6,反夸克到7。

图12-3b:电子从时空点1运动到2的费曼图,最左边的图是没有产生虚光子的直接路径;第二个图中产生一个光子,后来又吸收了这个光子;第三个图包括了两次产生和吸收光子的过程;第四个图是更高阶的修正。

量子场论“以场为本”,认为粒子只是场的“激发态”,犹如水波中的涟漪。但是,对如此而定义的“场”的本质,应该如何理解?它们到底是某种物理实在,还是仅仅是为了“激发”出可观测“粒子”而使用的一种数学方法?这仍然是物理学界难以回答、颇存争议的问题。不过,类比电磁场的例子,笔者认为,“场”和“粒子”两者都应该是物理实在,这种观点似乎更具有说服力。对此,你的答案是什么呢?


参考文献:
【1】M. E. Peskin and D. V. Schroeder,An Introduction to Quantum Field Theory,RedwoodCity: Addison-Wesley,1995
【2】Stephen Weinberg,The QuantumTheory of Fields,Cambridge University Press,1996
【3】A. Zee,Quantum Field Theory in a Nutshell,PrincetonUniversity Press,2003,好像有中译本。

来源:科学网张天蓉博客



                               
登录/注册后可看大图
【统一路】系列快速通道
点击标题直接跳转




大道至简 万物于弧
*滑动验证:
您需要登录后才可以回帖 登录 | 立即注册

本版积分规则

手机版|Archiver|小黑屋|国际弧学研究会    

GMT-7, 2025-10-16 11:34 , Processed in 0.580697 second(s), 25 queries .

Powered by Discuz! X3.1

© 2001-2013 Comsenz Inc.

快速回复 返回顶部 返回列表