弧论坛

标题: 我们的世界因为这17个公式而改天换地 [打印本页]

作者: Arcman    时间: 2016-9-19 02:49
标题: 我们的世界因为这17个公式而改天换地
我们的世界因为这17个公式而改天换地原创 2016-07-05 我是崔小白 [url=]哆嗒数学网[/url]
原文作者:Max Nisen,Quartz网站记者。
译文作者:我是崔小白,哆嗒数学网翻译组成员,就读于中国矿业大学。

关注微信:DuoDaaMath 每天获得更多数学趣文
新浪微博:[url=]http://weibo.com/duodaa[/url]


今年早些时候,数学家斯伊恩•图尔特出版了一本十分优秀而专业的书籍,书名为《探索未知:改变世界的17个公式》。该书审视了有史以来最为关键的公式,并从人类背景而非技术背景下进行了解读。

我们询问斯图尔特教授为什么决定写这本书:

“公式可以非常枯燥,也可以非常复杂,但主要是因为它们通常是在一个枯燥且复杂的方式下呈现的,和学校的数学老师相比我更具优势:我不会试图教你如何做运算。你可以欣赏公式的美丽和重要性,而不需要懂得如何计算... 本书主要目的在于定位公式所处的文化和人文背景,并揭开它们隐藏在背后影响历史进程的面纱。公式是我们文化的重要组成部分。隐藏在公式背后的故事--发现/发明了它们的人以及他们所生活的时代——都是引人入胜的。”


这与受到金融危机影响的那些人尤为相关。


布莱克•斯科尔斯期权定价模型,是位于第17位的一个衍生品定价方程,可以有助于阐释该问题。


摘自同斯图尔特教授的电邮交流:


“从数学角度来看,它实际上是一个相当简单的方程。真正带来麻烦的是数学系统建模的复杂性。你不需要成为一个内行去搞懂将数百亿美元借给别人并且指望归还的那些人,他们的想法是多么的幼稚可笑…”

人们对待一个理论公式过于严肃认真,滥用其假设,用其为错误的决策辩解,花费上万亿美元搭建纸牌屋(译者注:用纸牌砌成的房子,形容脆弱,不堪一击),这使得危机不可避免:
“我认为一旦金融工具在巨额交易条件下,情况会变得太过复杂以至于危机是无可避免的,没人能完全理解它们的价值和所带来的风险。当市场用真实的货币交易真实的商品时,过度交易只能到达实际存在的上限。当交易变成虚拟商品(金融衍生品)兑换虚拟货币(杠杆作用)时,由于没有客观世界的限制,市场就会变为脱离现实的幻境。”


现在我们来看看这17个公式:

勾股定理

                               
登录/注册后可看大图
含义:直角三角形的斜边的平方等于它的两条直角边的平方和。

历史:尽管归功于毕达哥拉斯,但是尚未确定他是第一个证明该公式的人。第一个明显的证据来自于欧几里德,也许巴比伦人比毕达哥拉斯早1000年就知道这个概念。

重要性:该公式是众多几何学的核心,将其与代数相联系,并且是三角学的基础。该公式对于精确的测绘、制图、导航是不可或缺的。

现代应用: 三角原理用于确定全球定位系统导航(GPS)的相对位置。



对数及其恒等式

含义:对数可以化乘为加。

                               
登录/注册后可看大图

历史:最初的概念是由苏格兰梅奇斯顿的地主约翰•纳皮尔在大量使用乘法运算时发现的,使得那些令人难以置信的繁琐和费时的计算会变得更容易和快捷。后来由亨利•布里格斯使其变得更加易于计算和使用。

重要性:对数是革命性的,它使得工程师和天文学家的计算更快更准确。随着计算机的问世,该公式似乎不再那么重要,但是对于科学家来说它仍然是不可或缺的。


现代应用: 对数可以有助于我们理解放射性衰变。




微积分基本定理

                               
登录/注册后可看大图
含义:可以计算出瞬时速率的变化

历史:微积分,正如我们所知在17世纪晚期由艾萨克•牛顿和戈特弗里德•莱布尼茨所发现。有关发现权的剽窃和先后有着长时间的争论。这也许永远无法解决。现在我们使用的逻辑和部分符号来自于上面两个人。

重要性:摘自斯图尔特的书,“对比任何其他的数学技术,它创造了现代世界”。微积分是我们理解如何测量线、面、体的关键。它是许多自然法则的基础,也是微分方程的来源。

现代应用:任何一个需要得出最优解的数学问题。医学、经济学和计算机科学的必备知识。



牛顿万有引力定律

                               
登录/注册后可看大图
含义:计算两个物体之间的引力。

历史:艾萨克•牛顿在翰尼斯•开普勒早期工作的帮助下得到了该定律。 他还使用甚至剽窃了罗伯特•胡克的工作。

重要性:微积分技术一直用于描述世界是如何运行的。时至今日我们仍然将它用于卫星和探测器的轨道设计。即使后来被爱因斯坦的相对论所取代,但它对于阐述物体之间如何相互作用仍然是至关重要的。

价值: 我们有太空发射任务时,该方程是用来寻找最佳的引力“管道”或路径,使它们可以尽可能地节约燃料。同时它也使得卫星电视成为可能。




复数

                               
登录/注册后可看大图
含义:虚数的平方为负值。

历史:虚数最初是由著名的赌徒/数学家吉罗拉莫•卡尔达诺提出,后由拉斐罗•邦别利和约翰•沃利斯进行了拓展。他们一直作为一种奇特而重要的数学基本问题存在,直到威廉•哈密顿阐述了这个定义。

重要性:摘自斯图尔特的书,“...如果没有该公式,很多现代科技,从电灯到数码相机不可能被发明出来。”虚数可以用于复分析,它可以让工程师们在平面上解决实际的问题。

现代应用: 广泛应用于电器工程和复变函数理论。




多面体欧拉公式

                               
登录/注册后可看大图
含义:描述了一个空间的的形状或结构,与度量方式无关。

历史:笛卡尔首次表述了顶点、棱、面三者之间的数量关系,随后的定义、证明和发表是莱昂哈德•欧拉在1750年完成的。

重要性:地形测量学发展的基础,它可以延伸到任何连续表面的几何形状。也是工程师和生物学家的一个重要工具。

现代应用: 拓扑学可以用于解释DNA的行为和功能。




正态分布

                               
登录/注册后可看大图
含义:定义了标准正态分布

历史:早期研究是由布莱斯•帕斯卡开始的,但是其分布的逐步形成是由伯努利完成的。我们目前的钟形曲线来自比利时数学家阿道夫•凯特勒。

重要性:该公式是现代统计学的基础。没有该公式,科学和社会科学不会以现在的形式出现。

现代应用: 用于在临床试验中确定药物相对于负面影响是否足够有效。




波动方程

                               
登录/注册后可看大图
含义:描述波的行为的微分方程,最初始于对振动小提琴弦的行为的研究。

历史:18世纪数学家丹尼尔•伯努利和让•达朗贝尔首次阐述了该公式,尽管他们是以略微不同的方式提出。

重要性:由波的行为推广到声音的传递方式,地震如何发生,以及海洋的行为。

现代应用: 石油公司引爆炸药,然后可以从随后的声波中读取数据来预测地质构造。




傅里叶变换

                               
登录/注册后可看大图
含义:描述时间作为频率的函数模式。

历史:约瑟夫•傅里叶发现了这一方程,该方程是从他著名的热流方程和前面描述的波动方程中扩展而来。

重要性:该方程可以将复杂的模式分离、清理和分析,对于许多类型的信号分析是至关重要的。

现代应用: 用于将信息图像压缩为JPEG格式,以及发现分子的结构。




纳维尔-斯托克斯方程

                               
登录/注册后可看大图
含义:等式左边反映的是流体微元的加速度,等式右边反映的是施加在上面的力。

历史:莱昂哈德•欧拉首次对流体的运动进行了模拟,法国工程师路易斯•克劳德•纳维叶和爱尔兰数学家斯乔治•托克斯构建了我们现在仍在使用的模型。

重要性:一旦计算机强大到足以解决这个方程,便可以开辟了一个复杂的和非常有用的物理领域。这对于设计更符合空气动力学的车辆是非常有用的。

现代应用:此外,该方程有助于推动现代客机的发展。





麦克斯韦方程组

                               
登录/注册后可看大图
含义:映射出电场和磁场之间的关系。

历史:迈克尔•法拉第对电磁之间的联系做了开创性的研究,詹姆斯•克拉克•麦克斯韦将其转化为方程,从根本上改变物理学。

重要性:有助于预测和帮助理解电磁波,同时也有助于许多现代技术的实现。

现代应用: 雷达、电视和现代通信。





热力学第二定律

                               
登录/注册后可看大图
含义:能量和热量随时间的推移而消散。

历史:萨迪•卡诺首次提出自然界是不可逆的。数学家路德维希•玻尔兹曼拓展了该定律,威廉•汤姆森正式表述了该定律。

重要性:它对于我们通过熵的概念来理解能量和宇宙是必不可少的。它有助于我们认识到热能提取工作的限制,并有助于发明更好的蒸汽机。

现代应用: 证明物质是由原子构成时,起到了一定的作用。







爱因斯坦相对论

                               
登录/注册后可看大图
含义:能量等于质量乘以光速的平方。

历史:很少有人知道(非物理学家)爱因斯坦的方程起源于由阿尔伯特•迈克尔逊和爱德华•莫雷实验,该实验证明了按牛顿的方式改变参照系条件下,光并没有发生移动。随后爱因斯坦在他的著名论文中就狭义相对论和广义相对论(1915)和广义相对论(1905)进行了深入的研究。

重要性:也许它是历史上最著名的方程式。彻底改变了我们对物质和现实的看法。

现代应用:有助于核武器的发明,如果全球定位系统没有考虑它的话,你的位置会偏离上千码。




薛定谔方程

                               
登录/注册后可看大图
含义:建立物质的波模型而不是粒子模型。

历史:1924年路易•维克多•德布罗意发现物质的双重性质。我们所见的方程是1927年埃尔温•薛定谔推导的,构建工作是由沃纳•海森堡那样的物理学家完成的。

重要性:彻底改变了物理学在微观尺度的观点。粒子以概率的方式出现,具有不确定的观点是革命性的。

现代应用: 对半导体和晶体管的使用是至关重要的,因此大多数现代计算机技术也依赖于它。







香农信息论

                               
登录/注册后可看大图
含义:通过概率及其符号估计一段代码的信息量。

历史:二战后的几年里由贝尔实验室的工程师克劳德•香农发现。

重要性: 摘自斯图尔特的书,“这是信息时代迎来的方程。” 通过阻止工程师们寻找过于高效的代码,它建立了从光盘到数字通信的界限。

现代应用: 用于很多容错检测的编码。你们这几天上网了吗?





逻辑斯蒂增长模型

                               
登录/注册后可看大图
含义:在有限资源的条件下估计种群隔代的数量变化。

历史:1975年罗伯特•梅可能是第一个指出该模型人口增长可能产生混沌的人。数学家弗拉基米尔•阿诺德和斯蒂芬•斯梅尔的重要工作使人们认识到混沌是微分方程产生的结果。

重要性:有助于混沌理论的发展,该理论完全改变了我们对自然系统工作方式的理解。

现代应用: 用于模拟地震和预测天气。




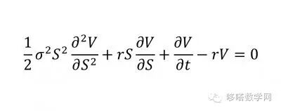
布莱克—斯科尔斯期权定价模型

                               
登录/注册后可看大图
含义:对衍生品的定价是基于无风险假设,并且当不存在套利机会时它的价格是正确的。

历史:费舍尔•布莱克和迈伦•斯科尔斯建立了模型,罗伯特•莫顿进行了拓展,后面两个人获得了1997年诺贝尔经济学奖。

重要性:有助于建立现在上万亿美元的衍生品交易市场。有人认为不当的使用公式(及其推论)导致了金融危机。特别是方程的几个假设不适用在现实金融市场。

现代应用: 在金融危机之后,仍有更多的拓展模型用来对大多数衍生品进行定价。








欢迎光临 弧论坛 (http://www.arcii.org/) Powered by Discuz! X3.1